離心泵和葉片泵的基本性能參數
發布時間:2013-3-14 來源:海坦泵業 點擊次數:3410
表征葉片泵基本性能的工作參數包括流量、揚程、功率、效率、轉速等。現將各參數的物理意義分述如下:
(1)流量
流量是水泵在單位時間內能抽出多少體積或質量的液體,用符號Q表示,單位有L/s、m3/h、t/h等。各單位之間的關系是:IL/S=0.00IM3/3
水泵銘牌上的流量是指設計流量,又稱額定流量。水泵在這量下運行時效率*高。
(2)揚程
揚程又稱水頭,是指被抽送的單位重量液體從水泵進口到出口能量增加的數值。她表征泵本身的性能,只和進、出口處的液體的能量有關,而和抽水裝置無直接關系,但是,利用能量方程,可以用抽水裝置中液體的能量表示泵的揚程,已符號H表示,單位是mH20(1mH20=9.80 665KPa),習慣上簡稱m.
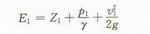
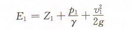
圖4-1為臥式離心泵抽水裝置簡圖。若以水泵軸線為基本準面,列出水泵進、出口斷面1-1、2-2的能量方程式,
1-1斷面單位重量液體的總能量:
.jpg)
2-2斷面單位重量液體的總能量::
![]()
則水泵揚程為
.jpg)
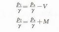
式中:Z1、Z2為真空表測壓點、壓力表基本準面到泵軸線的距離,低于泵軸線為負值,高于泵軸線為正值,單位為m:
為真空表測壓點,壓力表基準面的壓力水頭,單位為m;
為進、出口斷面的流速水頭,單位為m;
真空表、壓力表的讀數系相對壓力,它與壓力(零壓以上的壓力)的關系為
式中: 為一個大氣壓,單位為m;
v為真空表讀數,即低于一個大氣壓的數值,單位為m;
m為壓力表讀數,即超過一個大氣壓的數值,單位為m;
將式(4-2)、式(4-3)代入式(4-1),得
真空表讀數單位一般用KPa(或mmHG)表示,如果將KPa(或mmHG)表示的讀數V(或V)換算為mHO讀數V,側。
